![]() | ||||||||||
| __________ | ||
| 1 Determination based on Mineral Resource data, sourced through April 11, 2025, from corporate disclosure of NI 43-101, JORC, or equivalent regulatory body (see news release dated May 12, 2025). | ||
| 2 Cut-off grade is variable depending on the mining method and pegmatite (0.40% Li2O open-pit, 0.60% Li2O underground CV5, and 0.70% Li2O underground CV13). The Effective Date of the MRE (announced May 2025) is January 6, 2025 (through drill hole CV24-787). Mineral Resources are not Mineral or Ore Reserves as they do not have demonstrated economic viability. |
Darren L. Smith, Executive Vice President Exploration, comments: "The Shaakichiuwaanaan Project is rapidly evolving into a critical minerals powerhouse with tantalum, caesium, and gallium already identified as significant potential by-product opportunities to a primary lithium operation. Of these opportunities, tantalum is the most common in the industry, when grades are sufficiently high, and may be recovered using simple and conventional processing methods with no material impact on lithium recoveries."
"With Shaakichiuwaanaan ranking as one of the top-5 tantalum pegmatites globally in terms of grade and tonnage, there is strong potential for tantalum to further enhance the economic and financial returns of the Project," added Mr. Smith.
Patriot Battery Metals Inc. (the "Company" or "Patriot") (TSX: PMET) (ASX: PMT) (OTCQX: PMETF) (FSE: R9GA) is pleased to provide an update on work streams currently underway to unlock tantalum – another important and high-value critical and strategic metal present in abundance at its 100%-owned Shaakichiuwaanaan Property (the "Property" or "Project"), located in the Eeyou Istchee James Bay region of Quebec. The Shaakichiuwaanaan Mineral Resource3, comprised of the CV5 and CV13 Li-Cs-Ta ("LCT") pegmatites, is situated approximately 13 km south of the regional and all‑weather Trans-Taiga Road and powerline infrastructure corridor, and is accessible year-round by all-season road.
The Shaakichiuwaanaan LCT pegmatites are highly evolved through the process of crystal fractionation during formation, whereby mineral crystallization leads to progressive changes in the chemistry of the remaining melt, resulting in increasingly rare minerals being formed as the process unfolds. This process of LCT pegmatite formation most commonly leads to only modest enrichment of lithium and other critical metals; however, in rare circumstances may result in extreme enrichment.
The Company is very fortunate that the Shaakichiuwaanaan LCT pegmatites are highly evolved, which has resultedin the extreme enrichment of lithium, caesium, and tantalum – each at potentially world-class scale – as well as other potentially recoverable critical and strategic metals (e.g., gallium). Each of these critical metals could become further value-added by-products to the envisioned primary lithium operation at Shaakichiuwaanaan. Additional information is provided below describing the tantalum opportunity and the steps being taken to evaluate the development of this unique asset.
| __________ |
| 3 Shaakichiuwaanaan (CV5 & CV13) Mineral Resource Estimate (108.0 Mt at 1.40% Li2O, 166 ppm Ta2O5 and 66 ppm Ga, Indicated, and 33.3 Mt at 1.33% Li2O, 156 ppm Ta2O5, and 65 ppm Ga, Inferred) is reported at a cut-off grade of 0.40% Li2O (open-pit), 0.60% Li2O (underground CV5), and 0.70% Li2O (underground CV13) with an Effective Date of January 6, 2025 (through drill hole CV24-787). Mineral resources are not mineral reserves as they do not have demonstrated economic viability. |
Tantalum Opportunity
Tantalum, which is primarily hosted in the mineral tantalite at Shaakichiuwaanaan, has been commercially recovered from LCT pegmatites historically and at active mining operations today (e.g., Greenbushes, Pilgangoora, Wodgina, and Tanco). This potentially de-risks the pathway to recover tantalum at Shaakichiuwaanaan.
Further bolstering this potential is the ranking of the MRE at Shaakichiuwaanaan as a top-54 tantalum pegmatite in the worldin terms of both grade and tonnage (Figure 1), highlighting the exceptional critical metal endowment present at the Project – 108.0 Mt at 1.40% Li2O and 166 ppm Ta2O5 Indicated, and 33.3 Mt at 1.33% Li2O and 156 ppm Ta2O5 Inferred. This equates to contained tantalum content of 23,104 tonnes (50.9 million pounds) Ta2O5.
As is common in LCT pegmatites, the tantalum mineralization is zoned within the wider pegmatite body and often overlaps with lithium mineralization zonation. Very high-grade tantalum zones are present within the deposit, which may overlap with high-grade lithium zones. Drill intersections include (Table 1, Table 2):
- 9.6 m at 0.94% Li2O and 2,307 ppm Ta2O5 (CV23-271) – CV13
- 9.5 m at 1.12% Li2O and 1,538 ppm Ta2O5 (CV24-441) – CV5
- 22.7 m at 2.79% Li2O and 972 ppm Ta2O5 (CV24-661) – CV5
- 22.9 m at 2.58% Li2O and 621 ppm Ta2O5 (CV23-181) – CV5
| __________ | ||
| 4 Determination based on Mineral Resource data, sourced through April 11, 2025, from corporate disclosure of NI 43-101, JORC, or equivalent regulatory body (see news release dated May 12, 2025). |
Process Recovery
At historical and active lithium pegmatite mine operations (e.g., Greenbushes, Pilgangoora, Wodgina, and Tanco), tantalum is recovered into a mineral concentrate (typically tantalite) using well-understood, simple, and conventional methods. At Shaakichiuwaanaan, the tantalite is envisioned to be recovered from the lithium process waste streams using simple, conventional, and low-cost magnetic and gravity methods (e.g., spirals). It is anticipated that the tantalum recovery circuit could be positioned as a "bolt-on" to the primary lithium recovery circuit using these waste streams as feed, with no impact on the overall lithium recovery.
The Company has active testwork programs underway at SGS Canada (Lakefield, ON, facility) targeting tantalite recovery on both early open-pit and early underground mine-life material. Initial results have been very encouraging with concentrate from the first lithium waste stream tested grading ~12% to 19% Ta2O5 at good stage recovery. Testing is continuing on the remaining waste streams from the lithium process circuit, which will allow for an overall concentrate grade and recovery to be determined.
Tantalum Market
Tantalum is an essential component required for a range of high-tech devices, electronics, superalloys, and essential niche applications including capacitors. Due to these essential uses, tantalum is listed as a critical and strategic mineral by the province of Quebec (Canada), Canada, European Union, United Kingdom, Australia, Japan, India, South Korea, and the United States.
Tantalum is a unique, high-performance metal known for its high melting point, exceptional corrosion resistance, and ability to efficiently store and transfer electrical charge. High-growth and emerging applications of tantalum are being driven by both technological innovation and strategic shifts in global industries. Emerging industry applications include advanced electronics and 5G infrastructure, semiconductor manufacturing, medical technology including implants and medical imaging equipment, aerospace, and quantum computing.
According to the United States Geological Survey, an estimated 2,100 tonnes of tantalum was produced globally in 2024. No significant amounts of tantalum are currently produced in North America or Europe, with a majority (85%+) of production coming out of the Democratic Republic of Congo, Rwanda, Nigeria, and Brazil. However, a significant amount of global supply (~60%) comes out of certain African regions where serious conflict and corruption are present and worker conditions are secondary, thus necessitating a conflict free source of supply. Growing tantalum production from lithium pegmatites, predominantly out of Australia at this time, is seen as a source of alternative, secure, stable, and conflict-free supply to global markets.
Tantalum currently trades for ~US$239/kg ($527/lb) in its refined form (Ta2O5 ≥99.5%). Depending on the source, market growth is forecasted at 4-6% CAGR through the end the decade.
Next Steps
Through the lithium-focused exploration and resource development drilling completed to date at the Property, the Company has identified other high-value critical metal potential by-products in addition to the existing large-scale lithium Mineral Resource at Shaakichiuwaanaan, namely caesium, tantalum, and gallium. The caesium opportunity was outlined in the News Release dated June 10, 2025, with the tantalum opportunity described in this news release.
The current phase of tantalum recovery testwork at SGS Canada's Lakefield, ON, facility is anticipated to be completed in the coming weeks and is focused on recovery from the lithium process waste streams. This work will allow for a preliminary understanding of process design to be developed and an estimate of the overall concentrate grade and recovery that may be expected. A follow-up program is planned that will include further assessment as a potential "bolt-on" recovery circuit to the primary lithium recovery circuit, as well as targeting optimizations of the process.
Additionally, the Company is actively engaged with potential end-users and supply chain participants to further develop the economic opportunity in the tantalum products anticipated to be derived from the Project.
The lithium-only Feasibility Study based on the CV5 Mineral Resource component of the overall Shaakichiuwaanaan MRE is on-track for completion in Q3-2025 and remains the near-term focus for the Company. The economic potential in critical metal by-products will be assessed once the lithium-only Feasibility Study is completed, with various studies concurrently underway to better evaluate the opportunities present for caesium, tantalum, and gallium specifically.
Qualified/Competent Person
The information in this news release that relates to exploration results for the Shaakichiuwaanaan Property is based on, and fairly represents, information compiled by Mr. Darren L. Smith, M.Sc., P.Geo., who is a Qualified Person as defined by National Instrument 43-101 – Standards of Disclosure for Mineral Projects, and member in good standing with the Ordre des Géologues du Québec (Geologist Permit number 01968), and with the Association of Professional Engineers and Geoscientists of Alberta (member number 87868). Mr. Smith has reviewed and approved the technical information in this news release.
Mr. Smith is an Executive and Vice President of Exploration for Patriot Battery Metals Inc. and holds common shares, Restricted Share Units (RSUs), and Performance Share Units (PSUs) in the Company.
Mr. Smith has sufficient experience, which is relevant to the style of mineralization, type of deposit under consideration, and to the activities being undertaken to qualify as a Competent Person as described by the Australasian Code for Reporting of Exploration Results, Mineral Resources and Ore Reserves (the JORC Code). Mr. Smith consents to the inclusion in this news release of the matters based on his information in the form and context in which it appears.
About Patriot Battery Metals Inc.
Patriot Battery Metals Inc. is a hard-rock lithium exploration company focused on advancing its district-scale 100%-owned Shaakichiuwaanaan Property (formerly known as Corvette) located in the Eeyou Istchee James Bay region of Quebec, Canada, which is accessible year-round by all-season road and is proximal to regional powerline infrastructure. The Shaakichiuwaanaan Mineral Resource5, which includes the CV5 & CV13 spodumene pegmatites, totals 108.0 Mt at 1.40% Li2O, 166 ppm Ta2O5, and 66 ppm Ga, Indicated, and 33.3 Mt at 1.33% Li2O, 156 ppm Ta2O5, and 65 ppm Ga, Inferred, and ranks6 as the largest lithium pegmatite resource in the Americas, and the 8th largest lithium pegmatite resource in the world. Shaakichiuwaanaan also holds significant potential for other critical and strategic metals including caesium, tantalum, and gallium.
A Preliminary Economic Assessment ("PEA") was announced for the CV5 Pegmatite (lithium) on August 21, 2024, and highlights Shaakichiuwaanaan as a potential North American lithium raw materials powerhouse. The PEA outlines the potential for a competitive and globally significant high-grade lithium project targeting up to ~800 ktpa spodumene concentrate using a simple Dense Media Separation ("DMS") only process flowsheet.
For further information, please contact us at info@patriotbatterymetals.com or by calling +1 (604) 279-8709, or visit www.patriotbatterymetals.com. Please also refer to the Company's continuous disclosure filings, available under its profile at www.sedarplus.ca and www.asx.com.au, for available exploration data.
This news release has been approved by the Board of Directors.
| __________ | ||
| 5 Cut-off grade is variable depending on the mining method and pegmatite (0.40% Li2O open-pit, 0.60% Li2O underground CV5, and 0.70% Li2O underground CV13). The Effective Date of the MRE (announced May 2025) is January 6, 2025 (through drill hole CV24-787). Mineral Resources are not Mineral or Ore Reserves as they do not have demonstrated economic viability. | ||
| 6 Determination based on Mineral Resource data, sourced through April 11, 2025, from corporate disclosure of NI 43-101, JORC, or equivalent regulatory body (see news release dated May 12, 2025). |
"KEN BRINSDEN"
Kenneth Brinsden, President, CEO, & Managing Director
Appendix 1 – JORC Code 2012 Table 1 (ASX Listing Rule 5.8.2)
Section 1 – Sampling Techniques and Data
| Criteria | JORC Code explanation | Commentary |
| Sampling techniques |
|
|
| Drilling techniques |
|
|
| Drill sample recovery |
|
|
| Logging |
|
|
| Sub-sampling techniques and sample preparation |
|
|
| Quality of assay data and laboratory tests |
|
|
| Verification of sampling and assaying |
|
|
| Location of data points |
|
|
| Data spacing and distribution |
|
|
| Orientation of data in relation to geological structure |
|
|
| Sample security |
|
|
| Audits or reviews |
|
|
Section 2 – Reporting of Exploration Results
| Criteria | JORC Code explanation | Commentary |
| Mineral tenement and land tenure status |
|
|
| Exploration done by other parties |
|
|
| Geology |
|
|
| Drill hole Information |
|
|
| Data aggregation methods |
|
|
| Relationship between mineralization widths and intercept lengths |
|
|
| Diagrams |
|
|
| Balanced reporting |
|
|
| Other substantive exploration data |
|
|
| Further work |
|
|
Appendix 2: MRE details and sources for deposits/projects noted in Figure 1.
| Company Name | Project Name | Stage | Inclusive | Measured | Indicated | Inferred | Information Source(s) | |||
| Mt | Ta2O5 | Mt | Ta2O5 | Mt | Ta2O5 | |||||
| Pilbara Minerals Ltd. | Pilgangoora | Production | Y | 16.5 | 144 | 314 | 106 | 76.6 | 124 | Annual Report 2024 |
| AVZ Minerals Limited 75% / La Congolaise d'Exploitation Minière SA 25% | Manono | Development | Y | 132.0 | 44 | 367 | 42 | 342.0 | 51 | ASX announcement dated January 31, 2024 |
| Patriot Battery Metals Inc. | Shaakichiuwaanaan | Development | – | – | – | 108 | 166 | 33.3 | 156 | TSX announcement herein |
| Liontown Resources Ltd. | Kathleen Valley | Production | Y | 19.0 | 149 | 109 | 131 | 26.0 | 118 | ASX announcement dated October 30, 2024 |
| Zhejiang Huayou Cobalt Co., Ltd. | Arcadia | Development | Y | 15.8 | 113 | 46 | 124 | 11.2 | 119 | ASX announcement dated October 11, 2021 |
| AMG Lithium GmbH | Mibra | Production | – | 3.4 | 359 | 17 | 335 | 4.2 | 337 | Euronext announcement dated April 3, 2017 |
| Andrada Mining Ltd. | Uis | Production | – | 27.3 | 110 | 18 | 105 | 32.7 | 89 | AIM announcement dated February 6, 2025 |
| Frontier Lithium Inc. 92.5% / Mitsubishi Corporation 7.5% | PAK + Spark | Development | – | 1.3 | 94 | 25 | 108 | 32.5 | 113 | NI 43-101 technical report dated February 28, 2023 |
| Sinomine Resource Group Co., Ltd. | Tanco | Production | – | 3.0 | 1,120 | 1 | 960 | 0.1 | 790 | 2024 Annual Report |
| Delta Lithium Ltd. | Yinnetharra Tantalum | Development | – | – | – | 27 | 95 | 12.9 | 117 | ASX announcement dated March 31, 2025 |
| Wildcat Resources Ltd. | Tabba Tabba | Development | – | – | – | 70 | 65 | 4.1 | 80 | ASX announcement dated November 28, 2024 |
| Critical Elements Lithium Corporation | Rose | Development | Y | – | – | 31 | 118 | 2.4 | 129 | TSX announcement dated August 29, 2023 |
| Delta Lithium Ltd. | Mt Ida | Development | – | – | – | 8 | 224 | 6.8 | 154 | ASX announcement dated October 3, 2023 |
| Global Lithium Resources Ltd. | Manna | Development | – | – | – | 33 | 52 | 18.7 | 50 | ASX announcement dated June 12, 2024 |
| Rio Tinto | Mt Cattlin | Development | Y | 0.2 | 154 | 10 | 155 | 4.8 | 177 | ASX announcement dated November 28, 2025 |
| Green Technology Metals Ltd. | Seymour | Development | – | – | – | 6 | 149 | 4.1 | 100 | ASX announcement dated November 17, 2023 |
| Note: Mineral resources are presented on a 100% basis and inclusive of reserves where noted. Estimates may have been prepared under different estimation and reporting regimes and may not be directly comparable. Patriot Battery Metals accepts no responsibility for the accuracy of peer mineral resource data as presented. Details on the tonnes, category, grade, and cut-off for mineral resources of each company noted herein are found within the respective information sources provided. Data compiled as of April 11, 2025. |
Appendix 3: Listing of Mineral Reserves included in Mineral Resource Estimates Outlined in Appendix 2.
| Company Name | Project Name | Stage | Proven | Probable | Information Source(s) | ||
| Mt | Ta2O5 | Mt | Ta2O5 | ||||
| Pilbara Minerals Ltd. | Pilgangoora | Production | 14.0 | 131 | 194.7 | 101 | Annual Report 2024 |
| AVZ Minerals Limited 75% / La Congolaise d'Exploitation Minière SA 25% | Manono | Development | 65.0 | – | 66.6 | – | AVZ FY23 Financial Report |
| Patriot Battery Metals Inc. | Shaakichiuwaanaan | Development | – | – | – | – | |
| Liontown Resources Ltd. | Kathleen Valley | Production | 3.7 | 176 | 65.5 | 120 | FY24 Annual Report |
| Zhejiang Huayou Cobalt Co., Ltd. | Arcadia | Development | 11.8 | 114 | 30.5 | 123 | ASX announcement dated October 11, 2021 |
| AMG Lithium GmbH | Mibra | Production | – | – | – | – | |
| Andrada Mining Ltd. | Uis | Production | – | – | – | – | |
| Frontier Lithium Inc. 92.5% / Mitsubishi Corporation 7.5% | PAK + Spark | Development | – | – | – | – | |
| Sinomine Resource Group Co., Ltd. | Tanco | Production | – | – | – | – | |
| Delta Lithium Ltd. | Yinnetharra Tantalum | Development | – | – | – | – | |
| Wildcat Resources Ltd. | Tabba Tabba | Development | – | – | – | – | |
| Critical Elements Lithium Corporation | Rose | Development | – | – | 26.3 | 138 | TSX announcement dated August 29, 2023 |
| Delta Lithium Ltd. | Mt Ida | Development | – | – | – | – | |
| Global Lithium Resources Ltd. | Manna | Development | – | – | – | – | |
| Rio Tinto | Mt Cattlin | Development | 0.1 | 126 | 3.6 | 113 | |
| Green Technology Metals Ltd. | Seymour | Development | – | – | – | – | |
| Note: Mineral reserves are presented on a 100% basis. Estimates may have been prepared under different estimation and reporting regimes and may not be directly comparable. Patriot Battery Metals accepts no responsibility for the accuracy of peer mineral reserve data as presented. Details on the tonnes, category, grade, and cut-off for mineral reserves of each company noted herein are found within the respective information sources provided. Data compiled as of April 11, 2025. |
Disclaimer for Forward-Looking Information
This news release contains "forward-looking statements" and "forward-looking information" within the meaning of applicable securities laws.
All statements, other than statements of present or historical facts are forward-looking statements. Forward-looking statements involve known and unknown risks, uncertainties and assumptions and accordingly, actual results could differ materially from those expressed or implied in such statements. You are hence cautioned not to place undue reliance on forward-looking statements. Forward-looking statements are typically identified by words such as "plan", "development", "growth", "continued", "intentions", "expectations", "emerging", "evolving", "strategy", "opportunities", "anticipated", "trends", "potential", "outlook", "ability", "additional", "on track", "prospects", "viability", "estimated", "reaches", "enhancing", "strengthen", "target", "believes", "next steps" or variations of such words and phrases or statements that certain actions, events or results "may", "could", "would", "might" or "will" be taken, occur or be achieved. Forward-looking statements include, but are not limited to, statements concerning the ability of tantalum to be a high-value by-product at Shaakichiuwaanaan, Shaakichiuwaanaan's ability to become a critical minerals powerhouse, the recoverability of tantalite, timing of the lithium-only Feasibility Study, tantalum's ability to further enhance the economic and financial returns of the Project; the ability of each of lithium, caesium and tantalum as well as other critical and strategic metals to become further value-added by-products, and the ability to further develop with potential end-users and supply chain participants the economic opportunity in the tantalum products derived from the Project.
Forward-looking statements are based upon certain assumptions and other important factors that, if untrue, could cause actual results to be materially different from future results expressed or implied by such statements. There can be no assurance that forward-looking statements will prove to be accurate. Key assumptions upon which the Company's forward-looking information is based include, without limitation, the market for tantalum, that proposed exploration work on the Property will continue as expected, the accuracy of reserve and resource estimates, the classification of resources between inferred and the assumptions on which the reserve and resource estimates are based, long-term demand for spodumene supply, and that exploration and development results continue to support management's current plans for Property development.
Forward-looking statements are also subject to risks and uncertainties facing the Company's business, any of which could have a material adverse effect on the Company's business, financial condition, results of operations and growth prospects. Readers should consider reviewing the detailed risk discussion in the Company's most recent Annual Information Form filed on SEDAR+, for a fuller understanding of the risks and uncertainties that affect the Company's business and operations.
Although the Company believes its expectations are based upon reasonable assumptions and has attempted to identify important factors that could cause actual actions, events or results to differ materially from those described in forward-looking statements, there may be other factors that cause actions, events or results not to be as anticipated, estimated or intended. There can be no assurance that forward-looking information will prove to be accurate. If any of the risks or uncertainties mentioned above, which are not exhaustive, materialize, actual results may vary materially from those anticipated in the forward-looking statements.
The forward-looking statements contained herein are made only as of the date hereof. The Company disclaims any intention or obligation to update or revise any forward-looking statements, whether as a result of new information, future events or otherwise, except to the extent required by applicable law. The Company qualifies all of its forward-looking statements by these cautionary statements.
The production target from the PEA referred to in this release was reported by the Company in accordance with ASX Listing Rule 5.16 on August 21, 2024. The Company confirms that, as of the date of this announcement, all material assumptions and technical parameters underpinning the production target in the original announcement continue to apply and have not materially changed.
Competent Person Statement (ASX Listing Rule 5.23) for Shaakichiuwaanaan MRE
The mineral resource estimate in this release was reported by the Company in accordance with ASX Listing Rule 5.8 on May 13, 2025. The Company confirms that, as of the date of this news release, it is not aware of any new information or data verified by the competent person that materially affects the information included in the announcement and that all material assumptions and technical parameters underpinning the estimates in the announcement continue to apply and have not materially changed. The Company confirms that, as at the date of this announcement, the form and context in which the competent person's findings are presented have not been materially modified from the original market announcement.
Shaakichiuwaanaan rapidly evolving into an emerging critical minerals powerhouse, with workstreams now underway on caesium, tantalum, and gallium opportunities
MONTREAL, June 25, 2025 /PRNewswire/ -- June 26, 2025 – Sydney, Australia
Highlights
- Emerging and high-growth applications of tantalum are being driven by both technological innovation and strategic shifts in global industries.
- Shaakichiuwaanaan ranks as a top-5 1 tantalum pegmatite Mineral Resource 2 globally in terms of both grade and tonnage:
- Indicated: 108.0 Mt at 1.40% Li2O, 166 ppm Ta2O5, and 66 ppm Ga.
- Inferred: 33.3 Mt at 1.33% Li2O, 156 ppm Ta2O5, and 65 ppm Ga.
- High-grade tantalum (and lithium) drill intersections include:
- 9.6 m at 0.94% Li2O and 2,307 ppm Ta2O5 (CV23-271) – CV13
- 9.5 m at 1.12% Li2O and 1,538 ppm Ta2O5 (CV24-441) – CV5
- 22.7 m at 2.79% Li2O and 972 ppm Ta2O5 (CV24-661) – CV5
- 22.9 m at 2.58% Li2O and 621 ppm Ta2O5 (CV23-181) – CV5
- Tantalite is the primary mineral host for the tantalum identified at Shaakichiuwaanaan.
- Tantalite is commercially recovered as a by-product from multiple lithium pegmatite operations globally using simple, well-understood, and conventional methods – including Greenbushes, Pilgangoora, Wodgina, and Tanco.
- The Company has commenced evaluating options to advance and incorporate the tantalum opportunity at Shaakichiuwaanaan as a potential by-product into the overall economic development of the Project, to follow the completion of the lithium-only Feasibility Study on the CV5 Pegmatite which remains on track for Q3 2025:
- Test programs now underway to thoroughly evaluate tantalum recovery, with ~19% Ta2O5 tantalite concentrate produced in the initial test program.
| __________ | ||
| 1 Determination based on Mineral Resource data, sourced through April 11, 2025, from corporate disclosure of NI 43-101, JORC, or equivalent regulatory body (see news release dated May 12, 2025). | ||
| 2 Cut-off grade is variable depending on the mining method and pegmatite (0.40% Li2O open-pit, 0.60% Li2O underground CV5, and 0.70% Li2O underground CV13). The Effective Date of the MRE (announced May 2025) is January 6, 2025 (through drill hole CV24-787). Mineral Resources are not Mineral or Ore Reserves as they do not have demonstrated economic viability. |
- 9.6 m at 0.94% Li2O and 2,307 ppm Ta2O5 (CV23-271) – CV13
- 9.5 m at 1.12% Li2O and 1,538 ppm Ta2O5 (CV24-441) – CV5
- 22.7 m at 2.79% Li2O and 972 ppm Ta2O5 (CV24-661) – CV5
- 22.9 m at 2.58% Li2O and 621 ppm Ta2O5 (CV23-181) – CV5
- Test programs now underway to thoroughly evaluate tantalum recovery, with ~19% Ta2O5 tantalite concentrate produced in the initial test program.
__________
1 Determination based on Mineral Resource data, sourced through April 11, 2025, from corporate disclosure of NI 43-101, JORC, or equivalent regulatory body (see news release dated May 12, 2025).
2 Cut-off grade is variable depending on the mining method and pegmatite (0.40% Li2O open-pit, 0.60% Li2O underground CV5, and 0.70% Li2O underground CV13). The Effective Date of the MRE (announced May 2025) is January 6, 2025 (through drill hole CV24-787). Mineral Resources are not Mineral or Ore Reserves as they do not have demonstrated economic viability.
Darren L. Smith, Executive Vice President Exploration, comments: "The Shaakichiuwaanaan Project is rapidly evolving into a critical minerals powerhouse with tantalum, caesium, and gallium already identified as significant potential by-product opportunities to a primary lithium operation. Of these opportunities, tantalum is the most common in the industry, when grades are sufficiently high, and may be recovered using simple and conventional processing methods with no material impact on lithium recoveries."
"With Shaakichiuwaanaan ranking as one of the top-5 tantalum pegmatites globally in terms of grade and tonnage, there is strong potential for tantalum to further enhance the economic and financial returns of the Project," added Mr. Smith.
Patriot Battery Metals Inc. (the "Company" or "Patriot") (TSX: PMET) (ASX: PMT) (OTCQX: PMETF) (FSE: R9GA) is pleased to provide an update on work streams currently underway to unlock tantalum – another important and high-value critical and strategic metal present in abundance at its 100%-owned Shaakichiuwaanaan Property (the "Property" or "Project"), located in the Eeyou Istchee James Bay region of Quebec. The Shaakichiuwaanaan Mineral Resource3, comprised of the CV5 and CV13 Li-Cs-Ta ("LCT") pegmatites, is situated approximately 13 km south of the regional and all‑weather Trans-Taiga Road and powerline infrastructure corridor, and is accessible year-round by all-season road.
The Shaakichiuwaanaan LCT pegmatites are highly evolved through the process of crystal fractionation during formation, whereby mineral crystallization leads to progressive changes in the chemistry of the remaining melt, resulting in increasingly rare minerals being formed as the process unfolds. This process of LCT pegmatite formation most commonly leads to only modest enrichment of lithium and other critical metals; however, in rare circumstances may result in extreme enrichment.
The Company is very fortunate that the Shaakichiuwaanaan LCT pegmatites are highly evolved, which has resultedin the extreme enrichment of lithium, caesium, and tantalum – each at potentially world-class scale – as well as other potentially recoverable critical and strategic metals (e.g., gallium). Each of these critical metals could become further value-added by-products to the envisioned primary lithium operation at Shaakichiuwaanaan. Additional information is provided below describing the tantalum opportunity and the steps being taken to evaluate the development of this unique asset.
| __________ |
| 3 Shaakichiuwaanaan (CV5 & CV13) Mineral Resource Estimate (108.0 Mt at 1.40% Li2O, 166 ppm Ta2O5 and 66 ppm Ga, Indicated, and 33.3 Mt at 1.33% Li2O, 156 ppm Ta2O5, and 65 ppm Ga, Inferred) is reported at a cut-off grade of 0.40% Li2O (open-pit), 0.60% Li2O (underground CV5), and 0.70% Li2O (underground CV13) with an Effective Date of January 6, 2025 (through drill hole CV24-787). Mineral resources are not mineral reserves as they do not have demonstrated economic viability. |
__________
3 Shaakichiuwaanaan (CV5 & CV13) Mineral Resource Estimate (108.0 Mt at 1.40% Li2O, 166 ppm Ta2O5 and 66 ppm Ga, Indicated, and 33.3 Mt at 1.33% Li2O, 156 ppm Ta2O5, and 65 ppm Ga, Inferred) is reported at a cut-off grade of 0.40% Li2O (open-pit), 0.60% Li2O (underground CV5), and 0.70% Li2O (underground CV13) with an Effective Date of January 6, 2025 (through drill hole CV24-787). Mineral resources are not mineral reserves as they do not have demonstrated economic viability.
Tantalum Opportunity
Tantalum, which is primarily hosted in the mineral tantalite at Shaakichiuwaanaan, has been commercially recovered from LCT pegmatites historically and at active mining operations today (e.g., Greenbushes, Pilgangoora, Wodgina, and Tanco). This potentially de-risks the pathway to recover tantalum at Shaakichiuwaanaan.
Further bolstering this potential is the ranking of the MRE at Shaakichiuwaanaan as a top-54 tantalum pegmatite in the worldin terms of both grade and tonnage (Figure 1), highlighting the exceptional critical metal endowment present at the Project – 108.0 Mt at 1.40% Li2O and 166 ppm Ta2O5 Indicated, and 33.3 Mt at 1.33% Li2O and 156 ppm Ta2O5 Inferred. This equates to contained tantalum content of 23,104 tonnes (50.9 million pounds) Ta2O5.
As is common in LCT pegmatites, the tantalum mineralization is zoned within the wider pegmatite body and often overlaps with lithium mineralization zonation. Very high-grade tantalum zones are present within the deposit, which may overlap with high-grade lithium zones. Drill intersections include (Table 1, Table 2):
- 9.6 m at 0.94% Li2O and 2,307 ppm Ta2O5 (CV23-271) – CV13
- 9.5 m at 1.12% Li2O and 1,538 ppm Ta2O5 (CV24-441) – CV5
- 22.7 m at 2.79% Li2O and 972 ppm Ta2O5 (CV24-661) – CV5
- 22.9 m at 2.58% Li2O and 621 ppm Ta2O5 (CV23-181) – CV5
| __________ | ||
| 4 Determination based on Mineral Resource data, sourced through April 11, 2025, from corporate disclosure of NI 43-101, JORC, or equivalent regulatory body (see news release dated May 12, 2025). |
__________
4 Determination based on Mineral Resource data, sourced through April 11, 2025, from corporate disclosure of NI 43-101, JORC, or equivalent regulatory body (see news release dated May 12, 2025).
Process Recovery
At historical and active lithium pegmatite mine operations (e.g., Greenbushes, Pilgangoora, Wodgina, and Tanco), tantalum is recovered into a mineral concentrate (typically tantalite) using well-understood, simple, and conventional methods. At Shaakichiuwaanaan, the tantalite is envisioned to be recovered from the lithium process waste streams using simple, conventional, and low-cost magnetic and gravity methods (e.g., spirals). It is anticipated that the tantalum recovery circuit could be positioned as a "bolt-on" to the primary lithium recovery circuit using these waste streams as feed, with no impact on the overall lithium recovery.
The Company has active testwork programs underway at SGS Canada (Lakefield, ON, facility) targeting tantalite recovery on both early open-pit and early underground mine-life material. Initial results have been very encouraging with concentrate from the first lithium waste stream tested grading ~12% to 19% Ta2O5 at good stage recovery. Testing is continuing on the remaining waste streams from the lithium process circuit, which will allow for an overall concentrate grade and recovery to be determined.
Tantalum Market
Tantalum is an essential component required for a range of high-tech devices, electronics, superalloys, and essential niche applications including capacitors. Due to these essential uses, tantalum is listed as a critical and strategic mineral by the province of Quebec (Canada), Canada, European Union, United Kingdom, Australia, Japan, India, South Korea, and the United States.
Tantalum is a unique, high-performance metal known for its high melting point, exceptional corrosion resistance, and ability to efficiently store and transfer electrical charge. High-growth and emerging applications of tantalum are being driven by both technological innovation and strategic shifts in global industries. Emerging industry applications include advanced electronics and 5G infrastructure, semiconductor manufacturing, medical technology including implants and medical imaging equipment, aerospace, and quantum computing.
According to the United States Geological Survey, an estimated 2,100 tonnes of tantalum was produced globally in 2024. No significant amounts of tantalum are currently produced in North America or Europe, with a majority (85%+) of production coming out of the Democratic Republic of Congo, Rwanda, Nigeria, and Brazil. However, a significant amount of global supply (~60%) comes out of certain African regions where serious conflict and corruption are present and worker conditions are secondary, thus necessitating a conflict free source of supply. Growing tantalum production from lithium pegmatites, predominantly out of Australia at this time, is seen as a source of alternative, secure, stable, and conflict-free supply to global markets.
Tantalum currently trades for ~US$239/kg ($527/lb) in its refined form (Ta2O5 ≥99.5%). Depending on the source, market growth is forecasted at 4-6% CAGR through the end the decade.
Next Steps
Through the lithium-focused exploration and resource development drilling completed to date at the Property, the Company has identified other high-value critical metal potential by-products in addition to the existing large-scale lithium Mineral Resource at Shaakichiuwaanaan, namely caesium, tantalum, and gallium. The caesium opportunity was outlined in the News Release dated June 10, 2025, with the tantalum opportunity described in this news release.
The current phase of tantalum recovery testwork at SGS Canada's Lakefield, ON, facility is anticipated to be completed in the coming weeks and is focused on recovery from the lithium process waste streams. This work will allow for a preliminary understanding of process design to be developed and an estimate of the overall concentrate grade and recovery that may be expected. A follow-up program is planned that will include further assessment as a potential "bolt-on" recovery circuit to the primary lithium recovery circuit, as well as targeting optimizations of the process.
Additionally, the Company is actively engaged with potential end-users and supply chain participants to further develop the economic opportunity in the tantalum products anticipated to be derived from the Project.
The lithium-only Feasibility Study based on the CV5 Mineral Resource component of the overall Shaakichiuwaanaan MRE is on-track for completion in Q3-2025 and remains the near-term focus for the Company. The economic potential in critical metal by-products will be assessed once the lithium-only Feasibility Study is completed, with various studies concurrently underway to better evaluate the opportunities present for caesium, tantalum, and gallium specifically.
Qualified/Competent Person
The information in this news release that relates to exploration results for the Shaakichiuwaanaan Property is based on, and fairly represents, information compiled by Mr. Darren L. Smith, M.Sc., P.Geo., who is a Qualified Person as defined by National Instrument 43-101 – Standards of Disclosure for Mineral Projects, and member in good standing with the Ordre des Géologues du Québec (Geologist Permit number 01968), and with the Association of Professional Engineers and Geoscientists of Alberta (member number 87868). Mr. Smith has reviewed and approved the technical information in this news release.
Mr. Smith is an Executive and Vice President of Exploration for Patriot Battery Metals Inc. and holds common shares, Restricted Share Units (RSUs), and Performance Share Units (PSUs) in the Company.
Mr. Smith has sufficient experience, which is relevant to the style of mineralization, type of deposit under consideration, and to the activities being undertaken to qualify as a Competent Person as described by the Australasian Code for Reporting of Exploration Results, Mineral Resources and Ore Reserves (the JORC Code). Mr. Smith consents to the inclusion in this news release of the matters based on his information in the form and context in which it appears.
About Patriot Battery Metals Inc.
Patriot Battery Metals Inc. is a hard-rock lithium exploration company focused on advancing its district-scale 100%-owned Shaakichiuwaanaan Property (formerly known as Corvette) located in the Eeyou Istchee James Bay region of Quebec, Canada, which is accessible year-round by all-season road and is proximal to regional powerline infrastructure. The Shaakichiuwaanaan Mineral Resource5, which includes the CV5 & CV13 spodumene pegmatites, totals 108.0 Mt at 1.40% Li2O, 166 ppm Ta2O5, and 66 ppm Ga, Indicated, and 33.3 Mt at 1.33% Li2O, 156 ppm Ta2O5, and 65 ppm Ga, Inferred, and ranks6 as the largest lithium pegmatite resource in the Americas, and the 8th largest lithium pegmatite resource in the world. Shaakichiuwaanaan also holds significant potential for other critical and strategic metals including caesium, tantalum, and gallium.
A Preliminary Economic Assessment ("PEA") was announced for the CV5 Pegmatite (lithium) on August 21, 2024, and highlights Shaakichiuwaanaan as a potential North American lithium raw materials powerhouse. The PEA outlines the potential for a competitive and globally significant high-grade lithium project targeting up to ~800 ktpa spodumene concentrate using a simple Dense Media Separation ("DMS") only process flowsheet.
For further information, please contact us at info@patriotbatterymetals.com or by calling +1 (604) 279-8709, or visit www.patriotbatterymetals.com. Please also refer to the Company's continuous disclosure filings, available under its profile at www.sedarplus.ca and www.asx.com.au, for available exploration data.
This news release has been approved by the Board of Directors.
| __________ | ||
| 5 Cut-off grade is variable depending on the mining method and pegmatite (0.40% Li2O open-pit, 0.60% Li2O underground CV5, and 0.70% Li2O underground CV13). The Effective Date of the MRE (announced May 2025) is January 6, 2025 (through drill hole CV24-787). Mineral Resources are not Mineral or Ore Reserves as they do not have demonstrated economic viability. | ||
| 6 Determination based on Mineral Resource data, sourced through April 11, 2025, from corporate disclosure of NI 43-101, JORC, or equivalent regulatory body (see news release dated May 12, 2025). |
__________
5 Cut-off grade is variable depending on the mining method and pegmatite (0.40% Li2O open-pit, 0.60% Li2O underground CV5, and 0.70% Li2O underground CV13). The Effective Date of the MRE (announced May 2025) is January 6, 2025 (through drill hole CV24-787). Mineral Resources are not Mineral or Ore Reserves as they do not have demonstrated economic viability.
6 Determination based on Mineral Resource data, sourced through April 11, 2025, from corporate disclosure of NI 43-101, JORC, or equivalent regulatory body (see news release dated May 12, 2025).
"KEN BRINSDEN"
Kenneth Brinsden, President, CEO, & Managing Director
Appendix 1 – JORC Code 2012 Table 1 (ASX Listing Rule 5.8.2)
Section 1 – Sampling Techniques and Data
| Criteria | JORC Code explanation | Commentary |
| Sampling techniques |
|
|
| Drilling techniques |
|
|
| Drill sample recovery |
|
|
| Logging |
|
|
| Sub-sampling techniques and sample preparation |
|
|
| Quality of assay data and laboratory tests |
|
|
| Verification of sampling and assaying |
|
|
| Location of data points |
|
|
| Data spacing and distribution |
|
|
| Orientation of data in relation to geological structure |
|
|
| Sample security |
|
|
| Audits or reviews |
|
|
Criteria
JORC Code explanation
Commentary
Sampling techniques
- Nature and quality of sampling (eg cut channels, random chips, or specific specialized industry standard measurement tools appropriate to the minerals under investigation, such as down hole gamma sondes, or handheld XRF instruments, etc). These examples should not be taken as limiting the broad meaning of sampling.
- Include reference to measures taken to ensure sample representivity and the appropriate calibration of any measurement tools or systems used.
- Aspects of the determination of mineralization that are Material to the Public Report.
- In cases where 'industry standard' work has been done this would be relatively simple (eg 'reverse circulation drilling was used to obtain 1 m samples from which 3 kg was pulverized to produce a 30 g charge for fire assay'). In other cases more explanation may be required, such as where there is coarse gold that has inherent sampling problems. Unusual commodities or mineralization types (eg submarine nodules) may warrant disclosure of detailed information.
- Feed fraction to the tantalum test work reported herein was the Dense Media Separation ("DMS") magnetic rejects. This sample was initially derived from a drill core (half-core) composite from the CV5 Pegmatite.
- Core sampling protocols meet industry standard practices.
- Core sampling is guided by lithology as determined during geological logging (i.e., by a geologist). All pegmatite intervals are sampled in their entirety (half-core), regardless if spodumene mineralization is noted or not (in order to ensure an unbiased sampling approach) in addition to ~1 to 3 m of sampling into the adjacent host rock (dependent on pegmatite interval length) to "bookend" the sampled pegmatite.
- The minimum individual sample length is typically 0.5 m and the maximum sample length is typically 2.0 m. Targeted individual pegmatite sample lengths are 1.0 to 1.5 m.
- All drill core is oriented to maximum foliation prior to logging and sampling and is cut with a core saw into half-core pieces, with one half-core collected for assay, and the other half-core remaining in the box for reference.
- Core samples collected from drill holes were shipped to SGS Canada's laboratory in Lakefield, ON, Val-d'Or, QC, or Radisson, QC, for sample preparation (code PRP90 ±special) which included drying at 105°C, crush to 90% (or 70% for 2022 holes) passing 2 mm, riffle split 250 g, and pulverize 85% passing 75 microns. Core sample pulps were shipped by air to SGS Canada's laboratory in Burnaby, BC, where the samples were homogenized and subsequently analyzed for multi-element (including Li, Ta, and Cs) using sodium peroxide fusion with ICP-AES/MS finish (codes GE_ICP91A50 and GE_IMS91A50).
Drilling techniques
- Drill type (eg core, reverse circulation, open-hole hammer, rotary air blast, auger, Bangka, sonic, etc) and details (eg core diameter, triple or standard tube, depth of diamond tails, face-sampling bit or other type, whether core is oriented and if so, by what method, etc).
- Holes are NQ size core diamond drilling.
- Core was not oriented.
Drill sample recovery
- Method of recording and assessing core and chip sample recoveries and results assessed.
- Measures taken to maximize sample recovery and ensure representative nature of the samples.
- Whether a relationship exists between sample recovery and grade and whether sample bias may have occurred due to preferential loss/gain of fine/coarse material.
- All drill core was geotechnically logged following industry standard practices, and include TCR, RQD, ISRM, and Q-Method. Core recovery is very good and typically exceeds 90%.
Logging
- Whether core and chip samples have been geologically and geotechnically logged to a level of detail to support appropriate Mineral Resource estimation, mining studies and metallurgical studies.
- Whether logging is qualitative or quantitative in nature. Core (or costean, channel, etc) photography.
- The total length and percentage of the relevant intersections logged.
- Upon receipt at the core shack, all drill core is pieced together, oriented to maximum foliation, metre marked, geotechnically logged (including structure), alteration logged, geologically logged, and sample logged on an individual sample basis. Core box photos are also collected of all core drilled, regardless of perceived mineralization. Specific gravity measurements of pegmatite are also collected at systematic intervals for all pegmatite drill core using the water immersion method, as well as select host rock drill core.
- The logging is qualitative by nature, and includes estimates of spodumene grain size, inclusions, and model mineral estimates.
- These logging practices meet or exceed current industry standard practices.
Sub-sampling techniques and sample preparation
- If core, whether cut or sawn and whether quarter, half or all core taken.
- If non-core, whether riffled, tube sampled, rotary split, etc and whether sampled wet or dry.
- For all sample types, the nature, quality and appropriateness of the sample preparation technique.
- Quality control procedures adopted for all sub-sampling stages to maximize representivity of samples.
- Measures taken to ensure that the sampling is representative of the in situ material collected, including for instance results for field duplicate/second-half sampling.
- Whether sample sizes are appropriate to the grain size of the material being sampled.
- The sample was used for the tantalum testwork is a drill core (half-core) composite from the CV5 Pegmatite. Sample(s) were prepared for testwork and analysis by SGS Canada Inc. using their in-house laboratory. Feed fraction to the tantalum test work reported herein was the Dense Media Separation ("DMS") magnetic rejects.
- Drill core sampling follows industry best practices. Drill core was saw-cut with half-core sent for geochemical analysis and half-core remaining in the box for reference. The same side of the core was sampled to maintain representativeness.
- Sample sizes are appropriate for the material being assayed.
- A Quality Assurance / Quality Control (QAQC) protocol following industry best practices was incorporated into the program and included systematic insertion of quartz blanks and certified reference materials (CRMs, Li focus) into sample batches at a rate of approximately 5% each. Additionally, analysis of pulp-split duplicates was completed to assess analytical precision, and external (secondary) laboratory pulp-split duplicates were prepared at the primary lab for subsequent check analysis and validation at a secondary lab.
- All protocols employed are considered appropriate for the sample type and nature of mineralization and are considered the optimal approach for maintaining representativeness in sampling.
Quality of assay data and laboratory tests
- The nature, quality and appropriateness of the assaying and laboratory procedures used and whether the technique is considered partial or total.
- For geophysical tools, spectrometers, handheld XRF instruments, etc, the parameters used in determining the analysis including instrument make and model, reading times, calibrations factors applied and their derivation, etc.
- Nature of quality control procedures adopted (eg standards, blanks, duplicates, external laboratory checks) and whether acceptable levels of accuracy (ie lack of bias) and precision have been established.
- The sample used for the tantalum testwork is a drill core (half-core) composite from the CV5 Pegmatite. Sample(s) were prepared for testwork and analysis by SGS Canada Inc. using their in-house laboratory. Feed fraction to the tantalum test work reported herein was the Dense Media Separation ("DMS") magnetic rejects.
- Tantalum testwork methods are considered appropriate for this stage of evaluation.
- Core samples collected from drill holes were shipped either to SGS Canada's laboratory in Lakefield, ON, Val-d'Or, QC, or Radisson, QC, for sample preparation (code PRP90 ±special) which included drying at 105°C, crush to 90% (or 70% for 2022 holes) passing 2 mm, riffle split 250 g, and pulverize 85% passing 75 microns. Core sample pulps were shipped by air to SGS Canada's laboratory in Burnaby, BC, where the samples were homogenized and subsequently analyzed for multi-element (including Li and Ta) using sodium peroxide fusion with ICP-AES/MS finish (codes GE_ICP91A50 and GE_IMS91A50).
- The Company relies on both its internal QAQC protocols (systematic use of blanks, certified reference materials, and external checks), as well as the laboratory's internal QAQC.
- All protocols employed are considered appropriate for the sample type and nature of mineralization and are considered the optimal approach for maintaining representativeness in sampling.
Verification of sampling and assaying
- The verification of significant intersections by either independent or alternative company personnel.
- The use of twinned holes.
- Documentation of primary data, data entry procedures, data verification, data storage (physical and electronic) protocols.
- Discuss any adjustment to assay data.
- Intervals are reviewed and compiled by the VP Exploration and Project Managers prior to disclosure, including a review of the Company's internal QAQC sample analytical data.
- Data capture utilizes MX Deposit software whereby core logging data is entered directly into the software for storage, including direct import of laboratory analytical certificates as they are received. The Company employs various on-site and post QAQC protocols to ensure data integrity and accuracy.
- Adjustments to data include reporting lithium, tantalum, and cesium in their oxide forms, as it is reported in elemental form in the assay certificates. Formulas used are Li2O = Li x 2.153, and Ta2O5 = Ta x 1.221.
Location of data points
- Accuracy and quality of surveys used to locate drill holes (collar and down-hole surveys), trenches, mine workings and other locations used in Mineral Resource estimation.
- Specification of the grid system used.
- Quality and adequacy of topographic control.
- Each drill hole's collar has been surveyed with a RTK Trimble Zephyr 3 or Topcon GR-5, with small number of holes and channels by average handheld GPS.
- The coordinate system used is UTM NAD83 Zone 18.
- The Company completed a property-wide LiDAR and orthophoto survey in August 2022, which provides high-quality topographic control.
- The quality and accuracy of the topographic controls are considered adequate for advanced stage exploration and development, including mineral resource estimation.
Data spacing and distribution
- Data spacing for reporting of Exploration Results.
- Whether the data spacing and distribution is sufficient to establish the degree of geological and grade continuity appropriate for the Mineral Resource and Ore Reserve estimation procedure(s) and classifications applied.
- Whether sample compositing has been applied.
- Samples selected for the tantalum testwork were of composited drill core (half-core) from the CV5 Pegmatite representing anticipated early mine-life material.
- At CV5, drill hole collar spacing is dominantly grid based. Several collars are typically completed from the same pad at varied orientations targeting pegmatite pierce points of ~50 (Indicated) to 100 m (Inferred) spacing.
- At CV13, drill hole spacing is dominantly grid based, targetting ~100 m pegmatite pierce points; however, collar locations and hole orientations may vary widely, which reflect the varied orientation of the pegmatite body along strike.
- It is interpreted that the large majority of the drill hole spacing at each pegmatite is sufficient to support a mineral resource estimate.
- Core sample lengths typically range from 0.5 to 2.0 m and average ~1.0 to 1.5 m. Sampling is continuous within all pegmatite encountered in the drill hole.
Orientation of data in relation to geological structure
- Whether the orientation of sampling achieves unbiased sampling of possible structures and the extent to which this is known, considering the deposit type.
- If the relationship between the drilling orientation and the orientation of key mineralized structures is considered to have introduced a sampling bias, this should be assessed and reported if material.
- No sampling bias is anticipated based on structure within the mineralized body.
- The principal mineralized bodies are relatively undeformed and very competent, although have meaningful structural control.
- At CV5, the principal mineralized body and adjacent lenses are steeply dipping resulting in oblique angles of intersection with true widths varying based on drill hole angle and orientation of pegmatite at that particular intersection point. i.e., the dip of the mineralized pegmatite body has variations in a vertical sense and along strike, so the true widths are not always apparent until several holes have been drilled (at the appropriate spacing) in any particular drill-fence.
- At CV13, the principal pegmatite body has a shallow varied strike and northerly dip.
Sample security
- The measures taken to ensure sample security.
- Samples were collected by Company staff or its consultants following specific protocols governing sample collection and handling. Core samples were bagged, placed in large supersacs for added security, palleted, and shipped directly to Val-d'Or, QC, or Radisson, QC, being tracked during shipment along with Chain of Custody. Upon arrival at the laboratory, the samples were cross-referenced with the shipping manifest to confirm all samples were accounted for. At the laboratory, sample bags are evaluated for tampering.
- The sample for tantalum testwork remained under the custody of SGS Canada Inc. as they also completed the geochemical analysis.
Audits or reviews
- The results of any audits or reviews of sampling techniques and data.
- A review of the sample procedures for the Company's 2021 fall drill program (CF21-001 to 004) and 2022 winter drill program (CV22-015 to 034) was completed by an Independent Competent Person and deemed adequate and acceptable to industry best practices (discussed in a technical report titled "NI 43-101 Technical Report on the Corvette Property, Quebec, Canada", by Alex Knox, M.Sc., P.Geol., Issue Date of June 27th, 2022.)
- A review of the sample procedures through the Company's 2024 winter drill program (through CV24-526) was completed by an independent Competent Person with respect to the Shaakichiuwaanaan's Mineral Resource Estimate (CV5 & CV13 pegmatites) and deemed adequate and acceptable to industry best practices (discussed in a technical report titled "NI 43‑101 Technical Report, Preliminary Economic Assessment for the Shaakichiuwaanaan Project, James Bay Region, Quebec, Canada" by Todd McCracken, P.Geo., Hugo Latulippe, P.Eng., Shane Ghouralal, P.Eng., MBA, and Luciano Piciacchia, P.Eng., Ph.D., of BBA Engineering Ltd., Ryan Cunningham, M.Eng., P.Eng., of Primero Group Americas Inc., and Nathalie Fortin, P.Eng., M.Env., of WSP Canada Inc., Effective Date of August 21, 2024, and Issue Date of September 12, 2024.
- Additionally, the Company continually reviews and evaluates its procedures in order to optimize and ensure compliance at all levels of sample data collection and handling. The tantalum recovery result reported herein has been reviewed by consultants independent of the Company.
Section 2 – Reporting of Exploration Results
| Criteria | JORC Code explanation | Commentary |
| Mineral tenement and land tenure status |
|
|
| Exploration done by other parties |
|
|
| Geology |
|
|
| Drill hole Information |
|
|
| Data aggregation methods |
|
|
| Relationship between mineralization widths and intercept lengths |
|
|
| Diagrams |
|
|
| Balanced reporting |
|
|
| Other substantive exploration data |
|
|
| Further work |
|
|
Criteria
JORC Code explanation
Commentary
Mineral tenement and land tenure status
- Type, reference name/number, location and ownership including agreements or material issues with third parties such as joint ventures, partnerships, overriding royalties, native title interests, historical sites, wilderness or national park and environmental settings.
- The security of the tenure held at the time of reporting along with any known impediments to obtaining a licence to operate in the area.
- The Shaakichiuwaanaan Property (formerly called "Corvette") is comprised of 463 CDC claims located in the James Bay Region of Quebec, with Lithium Innova Inc. (wholly owned subsidiary of Patriot Battery Metals Inc.) being the registered title holder for all of the claims. The northern border of the Property's primary claim block is located within approximately 6 km to the south of the Trans-Taiga Road and powerline infrastructure corridor. The CV5 Spodumene Pegmatite is accessible year-round by all-season road is situated approximately 13.5 km south of the regional and all‑weather Trans-Taiga Road and powerline infrastructure. The CV13 and CV9 spodumene pegmatites are located approximately 3 km west-southwest and 14 km west of CV5, respectively.
- The Company holds 100% interest in the Property subject to various royalty obligations depending on original acquisition agreements. DG Resources Management holds a 2% NSR (no buyback) on 76 claims, D.B.A. Canadian Mining House holds a 2% NSR on 50 claims (half buyback for $2M), Osisko Gold Royalties holds a sliding scale NSR of 1.5-3.5% on precious metals, and 2% on all other products, over 111 claims, and Azimut Exploration holds 2% NSR on 39 claims.
- The Property does not overlap any atypically sensitive environmental areas or parks, or historical sites to the knowledge of the Company. There are no known hinderances to operating at the Property, apart from the goose harvesting season (typically mid-April to mid-May) where the communities request helicopter flying not be completed, and potentially wildfires depending on the season, scale, and location.
- Claim expiry dates range from January 2026 to November 2027.
Exploration done by other parties
- Acknowledgment and appraisal of exploration by other parties.
- No previous exploration targeting tantalum mineralization has been conducted by other parties at the Project.
- For a summary of previous exploration undertaken by other parties at the Project, please refer to the most recent independent Property review was a technical report titled "NI 43‑101 Technical Report, Preliminary Economic Assessment for the Shaakichiuwaanaan Project, James Bay Region, Quebec, Canada" by Todd McCracken, P.Geo., Hugo Latulippe, P.Eng., Shane Ghouralal, P.Eng., MBA, and Luciano Piciacchia, P.Eng., Ph.D., of BBA Engineering Ltd., Ryan Cunningham, M.Eng., P.Eng., of Primero Group Americas Inc., and Nathalie Fortin, P.Eng., M.Env., of WSP Canada Inc., Effective Date of August 21, 2024, and Issue Date of September 12, 2024.
Geology
- Deposit type, geological setting and style of mineralization.
- The Property overlies a large portion of the Lac Guyer Greenstone Belt, considered part of the larger La Grande River Greenstone Belt and is dominated by volcanic rocks metamorphosed to amphibolite facies. The claim block is dominantly host to rocks of the Guyer Group (amphibolite, iron formation, intermediate to mafic volcanics, peridotite, pyroxenite, komatiite, as well as felsic volcanics). The amphibolite rocks that trend east-west (generally steeply south dipping) through this region are bordered to the north by the Magin Formation (conglomerate and wacke) and to the south by an assemblage of tonalite, granodiorite, and diorite, in addition to metasediments of the Marbot Group (conglomerate, wacke). Several regional-scale Proterozoic gabbroic dykes also cut through portions of the Property (Lac Spirt Dykes, Senneterre Dykes).
- The geological setting is prospective for gold, silver, base metals, platinum group elements, and lithium over several different deposit styles including orogenic gold (Au), volcanogenic massive sulfide (Cu, Au, Ag), komatiite-ultramafic (Au, Ag, PGE, Ni, Cu, Co), and pegmatite (Li, Cs, Ta).
- Exploration of the Property has outlined three primary mineral exploration trends crossing dominantly east-west over large portions of the Property – Golden Trend (gold), Maven Trend (copper, gold, silver), and CV Trend (lithium, caesium, tantalum). The CV5 and CV13 spodumene pegmatites are situated within the CV Trend. Lithium mineralization at the Property, including at CV5, CV13, and CV9, is observed to occur within quartz-feldspar pegmatite, which may be exposed at surface as high relief 'whale-back' landforms. The pegmatite is often very coarse-grained and off-white in appearance, with darker sections commonly composed of mica and smoky quartz, and occasional tourmaline.
- The lithium pegmatites at Shaakichiuwaanaan are categorized as LCT Pegmatites. Core assays and ongoing mineralogical studies, coupled with field mineral identification and assays confirm spodumene as the dominant lithium-bearing mineral on the Property, with no significant petalite, lepidolite, lithium-phosphate minerals, or apatite present. The spodumene crystal size of the pegmatites is typically decimetre scale, and therefore, very large. The pegmatites also carry significant tantalum (tantalite) and caesium (pollucite).
Drill hole Information
- A summary of all information material to the understanding of the exploration results including a tabulation of the following information for all Material drill holes:
- easting and northing of the drill hole collar
- elevation or RL (Reduced Level – elevation above sea level in metres) of the drill hole collar
- dip and azimuth of the hole
- down hole length and interception depth
- hole length.
- If the exclusion of this information is justified on the basis that the information is not Material and this exclusion does not detract from the understanding of the report, the Competent Person should clearly explain why this is the case.
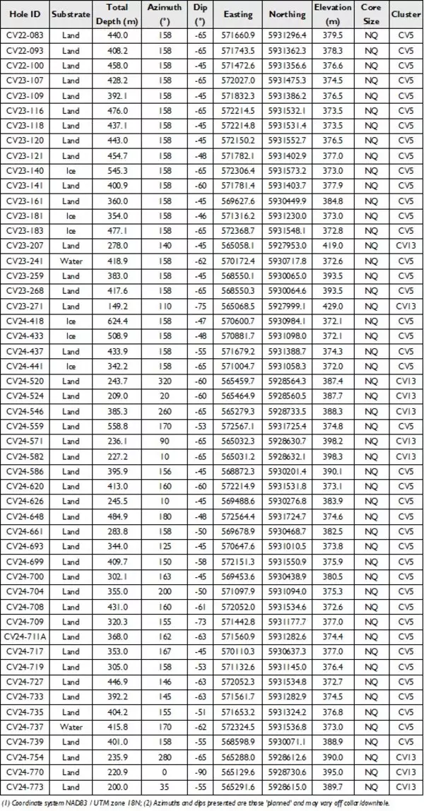
- Drill hole attribute information is included in a table herein.
Data aggregation methods
- In reporting Exploration Results, weighting averaging techniques, maximum and/or minimum grade truncations (eg cutting of high grades) and cut-off grades are usually Material and should be stated.
- Where aggregate intercepts incorporate short lengths of high grade results and longer lengths of low grade results, the procedure used for such aggregation should be stated and some typical examples of such aggregations should be shown in detail.
- The assumptions used for any reporting of metal equivalent values should be clearly stated.
- Average tantalum values for the CV5 and CV13 deposits are presented in news release dated May 12, 2025, with average tantalum per pegmatite intersection presented in prior news announcements. Presented herein is a majority selection of intervals grading >400 ppm Ta2O5 over at least 10 m core length for drill holes through CV24-787 (as well as select, very high-grade intervals less than 10 m). Intervals are of pegmatite but may include minor (typically <3 m) of low-grade pegmatite and/or non-pegmatite dilution. The results presented illustrate the relationship of high-grade tantalum and accompanying lithium, and outline in general the highest-grade intervals of tantalum mineralization over moderate to wide widths. A lower tantalum grade cut-off of ~250 ppm Ta2O5 was used during grade width calculations with some geologist discretion. Pegmatites have inconsistent mineralization by nature, resulting in some intervals having a small number of poorly mineralized samples included in the calculation.
Relationship between mineralization widths and intercept lengths
- These relationships are particularly important in the reporting of Exploration Results.
- If the geometry of the mineralization with respect to the drill hole angle is known, its nature should be reported.
- If it is not known and only the down hole lengths are reported, there should be a clear statement to this effect (eg 'down hole length, true width not known').
- At CV5, geological modelling is ongoing on a hole-by-hole basis and as assays are received. However, current interpretation supports a principal, large pegmatite body of near vertical to steeply dipping orientation, flanked by several subordinate pegmatite lenses (collectively, the 'CV5 Spodumene Pegmatite')
- At CV13, geological modelling is ongoing on a hole-by-hole basis and as assays are received. However, current interpretation supports a series of sub-parallel trending sills with a flat-lying to shallow northerly dip (collectively, the 'CV13 Spodumene Pegmatite')
- All reported widths are core length. True widths are not calculated for each hole due to the relatively wide drill spacing at this stage of delineation and the typical irregular nature of pegmatite, as well as the varied drill hole orientations. As such, true widths may vary widely from hole to hole.
Diagrams
- Appropriate maps and sections (with scales) and tabulations of intercepts should be included for any significant discovery being reported. These should include, but not be limited to a plan view of drill hole collar locations and appropriate sectional views.
- Please refer to the figures included herein as well as those posted on the Company's website.
Balanced reporting
- Where comprehensive reporting of all Exploration Results is not practicable, representative reporting of both low and high grades and/or widths should be practiced to avoid misleading reporting of Exploration Results.
- Reporting is balanced. Average tantalum values for the CV5 and CV13 deposits are presented in news release dated May 12, 2025, with average tantalum per pegmatite intersection presented in prior news announcements. Presented herein is a majority selection of intervals grading >400 ppm Ta2O5 over at least 10 m core length for drill holes through CV24-787 (as well as select, very high-grade intervals less than 10 m). Intervals are of pegmatite but may include minor (typically <3 m) of low-grade pegmatite and/or non-pegmatite dilution. The results presented illustrate the relationship of high-grade tantalum and accompanying lithium, and outline in general the highest-grade intervals of tantalum mineralization over moderate to wide widths.
Other substantive exploration data
- Other exploration data, if meaningful and material, should be reported including (but not limited to): geological observations; geophysical survey results; geochemical survey results; bulk samples – size and method of treatment; metallurgical test results; bulk density, groundwater, geotechnical and rock characteristics; potential deleterious or contaminating substances.
- The Company is currently completing site environmental work over the CV5 and CV13 pegmatite area. No endangered flora or fauna have been documented over the Property to date, and several sites have been identified as potentially suitable for mine infrastructure.
- The Company has completed a bathymetric survey over the shallow glacial lake which overlies a portion of the CV5 Spodumene Pegmatite. The lake depth ranges from <2 m to approximately 18 m, although the majority of the CV5 Spodumene Pegmatite, as delineated to date, is overlain by typically <2 to 10 m of water.
- The Company has completed significant metallurgical testing comprised of HLS and magnetic testing, which has produced 6+% Li2O spodumene concentrates at >70% recovery on both CV5 and CV13 pegmatite material, indicating DMS as a viable primary process approach, and that both CV5 and CV13 could potentially feed the same process plant. A DMS test on CV5 Spodumene Pegmatite material returned a spodumene concentrate grading 5.8% Li2O at 79% recovery, strongly indicating potential for a DMS only operation to be applicable. Additionally, a more expansive DMS pilot program has been completed, including with non-pegmatite dilution, and has produced results in line with prior testwork. These lithium recovery test programs inform the envisioned tantalum by-product recovery circuit, which uses the waste streams from the lithium recovery circuit as feed.
- Various mandates required for advancing the Project towards economic studies have been initiated, including but not limited to, environmental baseline, metallurgy, geomechanics, hydrogeology, hydrology, stakeholder engagement, geochemical characterization, as well as transportation and logistical studies.
Further work
- The nature and scale of planned further work (eg tests for lateral extensions or depth extensions or large-scale step-out drilling).
- Diagrams clearly highlighting the areas of possible extensions, including the main geological interpretations and future drilling areas, provided this information is not commercially sensitive.
- The Company intends to continue drilling the pegmatites of the Shaakichiuwaanaan Property, primarily targetting caesium and lithium as the primary commodities of interest.
- Metallurgical test programs evaluating the recovery of tantalum, caesium, and gallium are ongoing.
Appendix 2: MRE details and sources for deposits/projects noted in Figure 1.
| Company Name | Project Name | Stage | Inclusive | Measured | Indicated | Inferred | Information Source(s) | |||
| Mt | Ta2O5 | Mt | Ta2O5 | Mt | Ta2O5 | |||||
| Pilbara Minerals Ltd. | Pilgangoora | Production | Y | 16.5 | 144 | 314 | 106 | 76.6 | 124 | Annual Report 2024 |
| AVZ Minerals Limited 75% / La Congolaise d'Exploitation Minière SA 25% | Manono | Development | Y | 132.0 | 44 | 367 | 42 | 342.0 | 51 | ASX announcement dated January 31, 2024 |
| Patriot Battery Metals Inc. | Shaakichiuwaanaan | Development | – | – | – | 108 | 166 | 33.3 | 156 | TSX announcement herein |
| Liontown Resources Ltd. | Kathleen Valley | Production | Y | 19.0 | 149 | 109 | 131 | 26.0 | 118 | ASX announcement dated October 30, 2024 |
| Zhejiang Huayou Cobalt Co., Ltd. | Arcadia | Development | Y | 15.8 | 113 | 46 | 124 | 11.2 | 119 | ASX announcement dated October 11, 2021 |
| AMG Lithium GmbH | Mibra | Production | – | 3.4 | 359 | 17 | 335 | 4.2 | 337 | Euronext announcement dated April 3, 2017 |
| Andrada Mining Ltd. | Uis | Production | – | 27.3 | 110 | 18 | 105 | 32.7 | 89 | AIM announcement dated February 6, 2025 |
| Frontier Lithium Inc. 92.5% / Mitsubishi Corporation 7.5% | PAK + Spark | Development | – | 1.3 | 94 | 25 | 108 | 32.5 | 113 | NI 43-101 technical report dated February 28, 2023 |
| Sinomine Resource Group Co., Ltd. | Tanco | Production | – | 3.0 | 1,120 | 1 | 960 | 0.1 | 790 | 2024 Annual Report |
| Delta Lithium Ltd. | Yinnetharra Tantalum | Development | – | – | – | 27 | 95 | 12.9 | 117 | ASX announcement dated March 31, 2025 |
| Wildcat Resources Ltd. | Tabba Tabba | Development | – | – | – | 70 | 65 | 4.1 | 80 | ASX announcement dated November 28, 2024 |
| Critical Elements Lithium Corporation | Rose | Development | Y | – | – | 31 | 118 | 2.4 | 129 | TSX announcement dated August 29, 2023 |
| Delta Lithium Ltd. | Mt Ida | Development | – | – | – | 8 | 224 | 6.8 | 154 | ASX announcement dated October 3, 2023 |
| Global Lithium Resources Ltd. | Manna | Development | – | – | – | 33 | 52 | 18.7 | 50 | ASX announcement dated June 12, 2024 |
| Rio Tinto | Mt Cattlin | Development | Y | 0.2 | 154 | 10 | 155 | 4.8 | 177 | ASX announcement dated November 28, 2025 |
| Green Technology Metals Ltd. | Seymour | Development | – | – | – | 6 | 149 | 4.1 | 100 | ASX announcement dated November 17, 2023 |
Company Name
Project Name
Stage
Inclusive
of
Reserves
Measured
Indicated
Inferred
Information Source(s)
Mt
Ta2O5
(ppm)
Mt
Ta2O5
(ppm)
Mt
Ta2O5
(ppm)
Pilbara Minerals Ltd.
Pilgangoora
Production
Y
16.5
144
314
106
76.6
124
Annual Report 2024
AVZ Minerals Limited 75% / La Congolaise d'Exploitation Minière SA 25%
Manono
Development
Y
132.0
44
367
42
342.0
51
ASX announcement dated January 31, 2024
Patriot Battery Metals Inc.
Shaakichiuwaanaan
Development
–
–
–
108
166
33.3
156
TSX announcement herein
Liontown Resources Ltd.
Kathleen Valley
Production
Y
19.0
149
109
131
26.0
118
ASX announcement dated October 30, 2024
Zhejiang Huayou Cobalt Co., Ltd.
Arcadia
Development
Y
15.8
113
46
124
11.2
119
ASX announcement dated October 11, 2021
AMG Lithium GmbH
Mibra
Production
–
3.4
359
17
335
4.2
337
Euronext announcement dated April 3, 2017
Andrada Mining Ltd.
Uis
Production
–
27.3
110
18
105
32.7
89
AIM announcement dated February 6, 2025
Frontier Lithium Inc. 92.5% / Mitsubishi Corporation 7.5%
PAK + Spark
Development
–
1.3
94
25
108
32.5
113
NI 43-101 technical report dated February 28, 2023
Sinomine Resource Group Co., Ltd.
Tanco
Production
–
3.0
1,120
1
960
0.1
790
2024 Annual Report
Delta Lithium Ltd.
Yinnetharra Tantalum
Development
–
–
–
27
95
12.9
117
ASX announcement dated March 31, 2025
Wildcat Resources Ltd.
Tabba Tabba
Development
–
–
–
70
65
4.1
80
ASX announcement dated November 28, 2024
Critical Elements Lithium Corporation
Rose
Development
Y
–
–
31
118
2.4
129
TSX announcement dated August 29, 2023
Delta Lithium Ltd.
Mt Ida
Development
–
–
–
8
224
6.8
154
ASX announcement dated October 3, 2023
Global Lithium Resources Ltd.
Manna
Development
–
–
–
33
52
18.7
50
ASX announcement dated June 12, 2024
Rio Tinto
Mt Cattlin
Development
Y
0.2
154
10
155
4.8
177
ASX announcement dated November 28, 2025
Green Technology Metals Ltd.
Seymour
Development
–
–
–
6
149
4.1
100
ASX announcement dated November 17, 2023
| Note: Mineral resources are presented on a 100% basis and inclusive of reserves where noted. Estimates may have been prepared under different estimation and reporting regimes and may not be directly comparable. Patriot Battery Metals accepts no responsibility for the accuracy of peer mineral resource data as presented. Details on the tonnes, category, grade, and cut-off for mineral resources of each company noted herein are found within the respective information sources provided. Data compiled as of April 11, 2025. |
Note: Mineral resources are presented on a 100% basis and inclusive of reserves where noted. Estimates may have been prepared under different estimation and reporting regimes and may not be directly comparable. Patriot Battery Metals accepts no responsibility for the accuracy of peer mineral resource data as presented. Details on the tonnes, category, grade, and cut-off for mineral resources of each company noted herein are found within the respective information sources provided. Data compiled as of April 11, 2025.
Appendix 3: Listing of Mineral Reserves included in Mineral Resource Estimates Outlined in Appendix 2.
| Company Name | Project Name | Stage | Proven | Probable | Information Source(s) | ||
| Mt | Ta2O5 | Mt | Ta2O5 | ||||
| Pilbara Minerals Ltd. | Pilgangoora | Production | 14.0 | 131 | 194.7 | 101 | Annual Report 2024 |
| AVZ Minerals Limited 75% / La Congolaise d'Exploitation Minière SA 25% | Manono | Development | 65.0 | – | 66.6 | – | AVZ FY23 Financial Report |
| Patriot Battery Metals Inc. | Shaakichiuwaanaan | Development | – | – | – | – | |
| Liontown Resources Ltd. | Kathleen Valley | Production | 3.7 | 176 | 65.5 | 120 | FY24 Annual Report |
| Zhejiang Huayou Cobalt Co., Ltd. | Arcadia | Development | 11.8 | 114 | 30.5 | 123 | ASX announcement dated October 11, 2021 |
| AMG Lithium GmbH | Mibra | Production | – | – | – | – | |
| Andrada Mining Ltd. | Uis | Production | – | – | – | – | |
| Frontier Lithium Inc. 92.5% / Mitsubishi Corporation 7.5% | PAK + Spark | Development | – | – | – | – | |
| Sinomine Resource Group Co., Ltd. | Tanco | Production | – | – | – | – | |
| Delta Lithium Ltd. | Yinnetharra Tantalum | Development | – | – | – | – | |
| Wildcat Resources Ltd. | Tabba Tabba | Development | – | – | – | – | |
| Critical Elements Lithium Corporation | Rose | Development | – | – | 26.3 | 138 | TSX announcement dated August 29, 2023 |
| Delta Lithium Ltd. | Mt Ida | Development | – | – | – | – | |
| Global Lithium Resources Ltd. | Manna | Development | – | – | – | – | |
| Rio Tinto | Mt Cattlin | Development | 0.1 | 126 | 3.6 | 113 | |
| Green Technology Metals Ltd. | Seymour | Development | – | – | – | – | |
Company Name
Project Name
Stage
Proven
Probable
Information Source(s)
Mt
Ta2O5
(%)
Mt
Ta2O5
(%)
Pilbara Minerals Ltd.
Pilgangoora
Production
14.0
131
194.7
101
Annual Report 2024
AVZ Minerals Limited 75% / La Congolaise d'Exploitation Minière SA 25%
Manono
Development
65.0
–
66.6
–
AVZ FY23 Financial Report
Patriot Battery Metals Inc.
Shaakichiuwaanaan
Development
–
–
–
–
Liontown Resources Ltd.
Kathleen Valley
Production
3.7
176
65.5
120
FY24 Annual Report
Zhejiang Huayou Cobalt Co., Ltd.
Arcadia
Development
11.8
114
30.5
123
ASX announcement dated October 11, 2021
AMG Lithium GmbH
Mibra
Production
–
–
–
–
Andrada Mining Ltd.
Uis
Production
–
–
–
–
Frontier Lithium Inc. 92.5% / Mitsubishi Corporation 7.5%
PAK + Spark
Development
–
–
–
–
Sinomine Resource Group Co., Ltd.
Tanco
Production
–
–
–
–
Delta Lithium Ltd.
Yinnetharra Tantalum
Development
–
–
–
–
Wildcat Resources Ltd.
Tabba Tabba
Development
–
–
–
–
Critical Elements Lithium Corporation
Rose
Development
–
–
26.3
138
TSX announcement dated August 29, 2023
Delta Lithium Ltd.
Mt Ida
Development
–
–
–
–
Global Lithium Resources Ltd.
Manna
Development
–
–
–
–
Rio Tinto
Mt Cattlin
Development
0.1
126
3.6
113
Green Technology Metals Ltd.
Seymour
Development
–
–
–
–
| Note: Mineral reserves are presented on a 100% basis. Estimates may have been prepared under different estimation and reporting regimes and may not be directly comparable. Patriot Battery Metals accepts no responsibility for the accuracy of peer mineral reserve data as presented. Details on the tonnes, category, grade, and cut-off for mineral reserves of each company noted herein are found within the respective information sources provided. Data compiled as of April 11, 2025. |
Note: Mineral reserves are presented on a 100% basis. Estimates may have been prepared under different estimation and reporting regimes and may not be directly comparable. Patriot Battery Metals accepts no responsibility for the accuracy of peer mineral reserve data as presented. Details on the tonnes, category, grade, and cut-off for mineral reserves of each company noted herein are found within the respective information sources provided. Data compiled as of April 11, 2025.
Disclaimer for Forward-Looking Information
This news release contains "forward-looking statements" and "forward-looking information" within the meaning of applicable securities laws.
All statements, other than statements of present or historical facts are forward-looking statements. Forward-looking statements involve known and unknown risks, uncertainties and assumptions and accordingly, actual results could differ materially from those expressed or implied in such statements. You are hence cautioned not to place undue reliance on forward-looking statements. Forward-looking statements are typically identified by words such as "plan", "development", "growth", "continued", "intentions", "expectations", "emerging", "evolving", "strategy", "opportunities", "anticipated", "trends", "potential", "outlook", "ability", "additional", "on track", "prospects", "viability", "estimated", "reaches", "enhancing", "strengthen", "target", "believes", "next steps" or variations of such words and phrases or statements that certain actions, events or results "may", "could", "would", "might" or "will" be taken, occur or be achieved. Forward-looking statements include, but are not limited to, statements concerning the ability of tantalum to be a high-value by-product at Shaakichiuwaanaan, Shaakichiuwaanaan's ability to become a critical minerals powerhouse, the recoverability of tantalite, timing of the lithium-only Feasibility Study, tantalum's ability to further enhance the economic and financial returns of the Project; the ability of each of lithium, caesium and tantalum as well as other critical and strategic metals to become further value-added by-products, and the ability to further develop with potential end-users and supply chain participants the economic opportunity in the tantalum products derived from the Project.
Forward-looking statements are based upon certain assumptions and other important factors that, if untrue, could cause actual results to be materially different from future results expressed or implied by such statements. There can be no assurance that forward-looking statements will prove to be accurate. Key assumptions upon which the Company's forward-looking information is based include, without limitation, the market for tantalum, that proposed exploration work on the Property will continue as expected, the accuracy of reserve and resource estimates, the classification of resources between inferred and the assumptions on which the reserve and resource estimates are based, long-term demand for spodumene supply, and that exploration and development results continue to support management's current plans for Property development.
Forward-looking statements are also subject to risks and uncertainties facing the Company's business, any of which could have a material adverse effect on the Company's business, financial condition, results of operations and growth prospects. Readers should consider reviewing the detailed risk discussion in the Company's most recent Annual Information Form filed on SEDAR+, for a fuller understanding of the risks and uncertainties that affect the Company's business and operations.
Although the Company believes its expectations are based upon reasonable assumptions and has attempted to identify important factors that could cause actual actions, events or results to differ materially from those described in forward-looking statements, there may be other factors that cause actions, events or results not to be as anticipated, estimated or intended. There can be no assurance that forward-looking information will prove to be accurate. If any of the risks or uncertainties mentioned above, which are not exhaustive, materialize, actual results may vary materially from those anticipated in the forward-looking statements.
The forward-looking statements contained herein are made only as of the date hereof. The Company disclaims any intention or obligation to update or revise any forward-looking statements, whether as a result of new information, future events or otherwise, except to the extent required by applicable law. The Company qualifies all of its forward-looking statements by these cautionary statements.
The production target from the PEA referred to in this release was reported by the Company in accordance with ASX Listing Rule 5.16 on August 21, 2024. The Company confirms that, as of the date of this announcement, all material assumptions and technical parameters underpinning the production target in the original announcement continue to apply and have not materially changed.
Competent Person Statement (ASX Listing Rule 5.23) for Shaakichiuwaanaan MRE
The mineral resource estimate in this release was reported by the Company in accordance with ASX Listing Rule 5.8 on May 13, 2025. The Company confirms that, as of the date of this news release, it is not aware of any new information or data verified by the competent person that materially affects the information included in the announcement and that all material assumptions and technical parameters underpinning the estimates in the announcement continue to apply and have not materially changed. The Company confirms that, as at the date of this announcement, the form and context in which the competent person's findings are presented have not been materially modified from the original market announcement.
** The press release content is from PR Newswire. Bastille Post is not involved in its creation. **
Work Programs Commence to Unlock Tantalum as a High-Value By-Product Critical Metal Opportunity
Work Programs Commence to Unlock Tantalum as a High-Value By-Product Critical Metal Opportunity
Work Programs Commence to Unlock Tantalum as a High-Value By-Product Critical Metal Opportunity
Work Programs Commence to Unlock Tantalum as a High-Value By-Product Critical Metal Opportunity
Next Article
Haier Teams Up with Paris Saint-Germain to Create Champion Experiences for Global Users
Paris Saint-Germain Stars Lead New Year TVC Lighting Up Landmark Screens Across 13 Global Cities
BEIJING, Jan. 1, 2026 /PRNewswire/ -- As 2025 came to a close, Haier, the world's leading IoT ecosystem brand, brought the spirit of champions to audiences worldwide through its partnership with Paris Saint-Germain (PSG), one of the world's most successful football clubs. On December 31, 2025, a New Year television commercial created by PSG star players lit up landmark outdoor screens across 13 major cities in markets including France, Poland, Egypt, Saudi Arabia and Japan, delivering more than a festive greeting and reflecting a shared champion mindset rooted in excellence, leadership, and global connection.
Haier Teams Up with Paris Saint-Germain to Create Champion Experiences for Global Users jwplayer('myplayer1').setup({file: 'https://mma.prnasia.com/media2/2853511/20260101_haier_video.mp4', image: 'https://mma.prnasia.com/media2/2853511/20260101_haier_video.mp4?p=medium', autostart:'false', stretching : 'uniform', width: '512', height: '288'});
Champion Spirit Inspires Innovation and Global User Experiences
The New Year campaign reflects Haier's own pursuit of excellence. From a pioneering Chinese manufacturer to a truly global ecosystem brand, Haier now serves over 1 billion households across more than 200 countries and regions. In 2024, Haier achieved global operating revenue of USD 55.9 billion and led the global major appliance retail market for 16 consecutive years.
Just as PSG relentlessly pushes the limits of performance, Haier applies the same champion spirit to technology and user experience. "We are thrilled to elevate our sports marketing strategy by partnering with Paris Saint-Germain. Great teams win through precision, teamwork and constant improvement. We build products the same way: designed around people, powered by technology, and proven in daily use." said Haishan Liang, Vice Chairman of the Board of Directors and President of Haier Group.
This vision is powered by Haier's "three-in-one" localization strategy, which integrates localized research and development, manufacturing, and marketing to create solutions tailored to local lifestyles. This approach, coupled with a global innovation network, ensures Haier's technology meets the diverse needs of users worldwide.
In Japan, Haier's ultra-slim refrigerators are designed for compact urban homes. In Europe, energy-efficient washing machines meet sustainability expectations and regulatory standards. In the U.S., large-capacity washers cater to family-oriented living.
In Thailand, Haier's "UV Cool Voice Series" air conditioners feature AI-powered voice control in both Thai and English, while in the Middle East and Africa, Haier's air-conditioning solutions are engineered to perform reliably and efficiently under demanding climate conditions.
Toward an Ecosystem Future of Infinite Possibilities
Beyond features and functions, Haier continues to expand its ecosystem, building open, vibrant ecosystems in smart living, industrial internet, and health tech, guided by the vision of creating boundless value alongside users and partners.
Through the COSMOPlat industrial internet platform, which supports global manufacturing innovation, and the Yingkang Life eco-platform focused on health and well-being, Haier's influence as an ecosystem brand continues to grow worldwide.
Guided by a strong sense of responsibility, Haier integrates sustainability and ESG (Environmental, Social and Governance) principles into its global operations, supporting long-term, sustainable development in every market it serves.
Moreover, Haier continues to strengthen its emotional connection with users worldwide. The illuminated landmark screens symbolize a shared celebration rooted in common values.
Haier's Global Fans Festival also remains a vital platform for engagement and community building. Following the successful conclusion of the recent event in Malaysia, the festival will continue to connect users through hundreds of localized events worldwide, fostering deeper interaction, shared experiences, and a growing global community.
As 2026 begins, Haier remains committed to delivering champion experiences through technology, innovation, and shared values—walking alongside users worldwide toward new possibilities.
Please visit https://www.haier.com/global/.
About Haier Group
Founded in 1984, Haier Group is a leading global provider of better life and digital transformation solutions, with the purpose of "More Creation, More Possibilities". Haier has always been user-centered and has built a landscape of three pillars: Smart Living, Comprehensive Health Industry, and Digital Economy Industry. The company has established 10 R&D centers, 35 industrial parks, and 163 manufacturing centers, achieving a global revenue of USD 55.9 billion in 2024. Haier has been ranked in the Kantar BrandZ Top 100 Most Valuable Global Brands for 7 consecutive years. Additionally, Haier has held the No.1 position in Euromonitor Global Major Appliances Brand for 16 consecutive years. Haier has 8 listed companies, with its subsidiary Haier Smart Home named among the Fortune Global 500 and Fortune World's Most Admired Companies.
** The press release content is from PR Newswire. Bastille Post is not involved in its creation. **
Haier Teams Up with Paris Saint-Germain to Create Champion Experiences for Global Users
Haier Teams Up with Paris Saint-Germain to Create Champion Experiences for Global Users

