Skip to Content Facebook Feature Image

放個長假吧,有可能會救你一命

博客文章

放個長假吧,有可能會救你一命
博客文章

博客文章

放個長假吧,有可能會救你一命

2019年04月13日 07:24 最後更新:07:25

長期要加班的人士們注意了,每年要放三個星期假可能有點奢侈,但這來自芬蘭的研究顯示,放個長假可大大減低心血管病風險。

研究對像包括了一千二百多名中年男高層,坐得這位置說明了他們全都是典型的工作狂人,工時長休息少,還全部最少有一個心血管健康風險,例如是吸煙、高血壓、高膽固醇或肥胖等等。

參加者們被隨機分成兩組,一組接受健康生活建議和服食降血壓血脂藥物,另一組作為對照,在五年後統計發病率。

這一部分的研究顯示吃藥能夠將心血管病風險減少46%,這並沒有出人意表的地方,但在實驗過後在40年期間的追蹤期內,研究員也收集了參加者們的工作和休息時間,以及有沒有放假等之前未收集的數據,而出人意料的是每年放假日子竟與死亡率有關。

上述研究中每年放個長假(綠色)跟放短假(紅色)的累計死亡風險,可見每年放長假的死亡率較低。

圖片來自 https://www.escardio.org/The-ESC/Press-Office/Press-releases/Take-a-vacation-it-could-prolong-your-life

圖片來自 https://www.escardio.org/The-ESC/Press-Office/Press-releases/Take-a-vacation-it-could-prolong-your-life

如上圖所示,放假放得太少顯著地提升了死亡率,每年放假少於三周的男士,死亡率要高37%。這等於是說如果你工作繁重,即使生活習慣健康且接時服藥,還是會有一定的心血管病風險。

放個假有如此神效,按研究員的說法是能讓你輕鬆一下,將長期累積壓力釋放出來,等身體有足夠的時間回復。放假少的高管們工作時間長,休息時間也短,長期高壓的狀態才是病發率高的問題所在。健康的生活習慣無法彌補工作太過操勞的問題,而壓力大也會降低藥物的效用。

一年要放三個星期的假對很多人來說是遙不可及的,那就只好退而求其次,好好考慮如何減輕壓力了,要定期放鬆一下才能活得長久!

我的 facebook 專頁: http://www.facebook.com/rongscienceblog

個人網誌: http://rongscience.blogspot.com




容謹 - 科普醫療

** 博客文章文責自負,不代表本公司立場 **

往下看更多文章

桑拿可以降低心血管病風險

 
網絡圖片

網絡圖片

桑拿 (Sauna)是一種有兩千年以上歷史的保健洗浴方式,它透過冷熱循環來讓人身心得以放鬆,是可以令人疲勞盡消、恢復體力的休閑活動。桑拿普遍被認為對肌肉酸痛、風濕和氣管問題等痛症有一定幫助,現在科學證實了它也能降低心血管病風險。

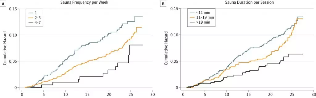
這來自芬蘭的桑拿研究包括了兩千三百多名42-60 歲的中年男士,追蹤期平均值為20.7年。結果顯示洗浴次數和時間與心血管病病發率以及死亡率成反比(見下圖):

圖片來自 https://jamanetwork.com/journals/jamainternalmedicine/fullarticle/2130724 每星期桑拿的次數和時間與心血管病病症風險成反比.

圖片來自 https://jamanetwork.com/journals/jamainternalmedicine/fullarticle/2130724 每星期桑拿的次數和時間與心血管病病症風險成反比.

無論是乾浴還是濕浴,桑拿的熱力也會增加身體表溫,而這會刺激自主神經系統 (Autonomic nervous system) 來提高心輸出量 (Cardiac output),心跳率也會升至每分鐘100-150下,這約等於是低中度的運動量的功率。另一方面熱力也能加速血液循環,同時讓血管擴張。冷熱循環等於是為血管做擴張收縮練習,可增強血管彈性,改善血管的內皮細胞 (Endothelium) 功能。最重要的是洗桑拿對於心臟病高風險、穩定型心絞痛 (Stable angina pectoris) 或心臟衰竭病人也有同樣好處,也相當的安全。

有研究跟進了保護作用的相關機制。在調整了年齡、血壓和吸煙等環境因素後,研究發現長期洗桑拿也能減低高血壓風險和改善左心房 (Left atrium) 功能,這很可能就是能降低心血管病風險的原因。

不過對男士們得留意多洗桑拿是有一個害處的,精子需要在體溫低3-4度的環境才能順利成長,而桑拿的溫度對精子來說實在是太高了,所以長期洗桑拿不利精子健康,可導致精子活力下降甚至是不育。 。 。 !

我的 facebook 專頁: http://www.facebook.com/rongscienceblog

個人網誌: http://rongscience.blogspot.com

你 或 有 興 趣 的 文 章